Bir Be
Sponsored by SpokeoPaid Service
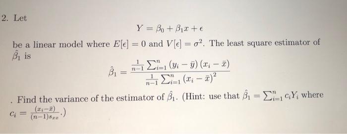
Bir Be
Sponsored by PeopleLookerPaid Service
Search for contact info, city & state history, relatives, jobs, education & more
Search public records
Bir - be
Food & Beverage
Birbe
Artesanos que trabajan principalmente con madera reciclada
100% BIRBE
Tutti i prodotti contraddistinti dal marchio 100% BIRBE sono realizzati artigianalmente e sono pezzi unici. Ciascuno è frutto di una meticolosa ricerca di stoffe, colori e materiali e sono l'espressione di un paziente lavoro di cucito.
Babybirbe
Capizzone, Lombardia, Italy
BARBIE GIRL - @birbe1
I DON'T CARE ANYBODY 😏😏😏
I CARE JUST ONE PERSON WHO CARE ME😇😇😇
1,003 followers
BirBe - @birbe2
48 followers
• BİRBEY • - @birbeyresmi
24k followers
𝑴𝒂𝒏𝒊𝒕𝒂✨⚡️🥀 - @birber1
My name is Manita.I’m 16 years old.I am Cambodia 🇰🇭
34k followers
ᴅᴊ ɢᴇɴᴄᴇ - @birbextim
Sᴇᴠɢɪ ᴍᴇɴɪᴍ ᴇɴ ʙᴏ̈ʏᴜ̈ᴋ ʙᴇxᴛsɪᴢʟɪʏɪᴍ 🖤
6,227 followers
😇💘سيرين💘😇 - @birbewurld
ا👈 💖شو قلبي حنون💖👉
8,743 followers
Alis Scarinci - @birbabelle
👸Alis
🇮🇹 Milano
👩🎓 Scienze Motorie
🤸♀️ Fitness Instructor
105k followers
Adam Birge
Fellow Quality Engineer at Livanova
Bir Be
Sponsored by PeopleLookerPaid Service
Search for Bir Be's city and state history
Search address historyParam Bir could’ve filed FIR, why wait for a year: Anil Deshmukh issues 8-point rebuttal to letter bomb
India Today - Sun, 21 Mar 2021
Silk road train 'first step towards a game changer'
Hurriyet Daily News - Mon, 11 Nov 2019
BIR.BE - Birchcliff Energy Ltd. Profile | Reuters
Birchcliff Energy Ltd. is an intermediate oil and natural gas company. The Company is engaged in the exploration for and the development, production and acquisition of petroleum and natural gas ...
Birbe Clinic: Maxillofacial Surgery and Implantology in ...
Monday, Thursday and Friday from 8.00h to 16.00h. Tuesday and Wednesday from 8.00h to 18.00h. Phone Number: +34 93 212 47 37. Outside of our business hours you can send us a WhatsApp or a form and we will answer you as soon as possible.
Birbe (Birb) · GitHub
yo im birb. I'm currently mostly programming in Rust, but I'm experienced in some other languages too. I enjoy web development and learning new technologies. I'm currently working on a Java Virtual Machine, written from scratch! If you're looking to chat, I'm very active on Discord @ Birb#0407.
Barbie Toys, Dolls, Playsets, Vehicles & Dollhouses: Barbie
Discover the best selection of Barbie items at the official Barbie website. Shop for the latest Barbie toys, dolls, playsets, accessories and more today!
Capital Gains Tax - Bureau of Internal Revenue
The Capital Gains Tax Return (BIR Form No. 1706) shall be filed and paid within thirty (30) days following the sale, exchange or disposition of real property, with any Authorized Agent Bank (AAB) or Revenue Collection Officer (RCO) of the Revenue District Office (RDO) having jurisdiction over the place where the property being transferred is located.
Tax implications of donations | Philstar.com
But lest the BIR be “misunderstood†for enforcing the law, some details should be provided on these laws, rules and regulations which govern donor’s tax, and other tax ...
Restaurant Style Rogan Josh Recipe - THE CURRY GUY
Instructions. In a large sauce pan, heat the ghee or oil until bubbling hot. When hot, add the garlic and ginger paste and let it come to a sizzle for about 30 seconds. Stir in the paprika, cumin, mixed powder and chilli powder. Stir well to combine.. Add the tomato puree followed by a ladle of the base curry sauce.
Which dental and aesthetic solutions do we offer ...
Which dental and aesthetic solutions do we offer? Sometimes certain patients do not know exactly what type of treatment they need to meet their needs. At Birbe Clinic, we have dental and aesthetic solutions that cover maxillofacial, oral and orthognathic surgeries, cosmetic surgeries and dental specialties, both orthodontic and implant treatments, as well as dental.
Data Decision-Making: Behavior Incident Report System
The Behavior Incident Report System (BIRS) provides early care and education programs and classrooms with a system to collect and analyze behavior incidents in their program. The system provides an efficient mechanism for gathering information on elements related to behavior incidents that can be used analytically to make decisions about ...
Overview of Handling BIR Tax Audit in the Philippines ...
By: Atty. Pearl Fatima L. Evardone Philippines tax system is anchored on voluntary compliance under pay-as-you file as it is the taxpayer who is responsible for its tax compliance determining which tax should be paid, how to comply with various reports, and when to pay the same. It has a check and balance mechanism where the tax authority (Bureau of Internal Revenue or BIR) has …
How to Handle BIR Tax Assessments » Business Seminars by ...
To know more about this topic, BusinessCoach, Inc., a leading business seminar provider, conducts a seminar entitled, “Managing BIR Tax Assessments.”. Contact (02) 727-5628, (02) 727-8860, (0915) 205-0133 or visit www.businesscoachphil.com for details. *Originally published by …
On hold: Quarantined tax assessments - Part two
Why shouldn’t the BIR be given the same consideration? After all, BIR examiners also face challenges in continuing tax audits given their limited mobility while under quarantine. That said, some may argue that taxpayers and the BIR are, in fact, not given the same consideration. While the extension is a welcome relief for taxpayers with ...
Amazon.com : Bird-X, SP-10-NR Plastic Polycarbonate Bird ...
Amazon.com : Bird-X, SP-10-NR Plastic Polycarbonate Bird Spikes Kit with Adhesive Glue, Covers 10 feet : Owl Scare Birds : Patio, Lawn & Garden
Amazon.com: Bird B Gone Bird Chase Super Sonic Bird ...
Deter birds with sound Bird B Gone Chase Super Sonic is a programmable sound deterrent used to deter birds from large open spaces. By emitting distress calls, this device can be used to deter pest birds from a range of problem areas.
BIR Online Payment Guide for Taxpayers in the Philippines
Once you’re done with your tax filing, proceed with these BIR online payment steps through the eFPS: Click on “Proceed to Payment” to go to the eFPS Payment Form page. Select “Bank Transfer” as your payment mode. Choose your bank from among the list of Transacting Banks. Enter your tax payment amount.
Flying - Converting Enroute IR to Basic IR (EIR to BIR)
Forums: Flying - Converting Enroute IR to Basic IR (EIR to BIR) Dear Forum members, in about 2 years from now, the E-IR will vanish and it shall be possible to convert the E-IR to the new B-IR by adding a module and a skill test.
Hontiveros says BIR final arbiter in Chinese firm's tax ...
"Mukhang may misrepresentation ang Xu Zhou kung ano ang tax obligations nila sa gobyerno. Sa akin lang Mr. Chairman. Let the BIR be the final arbiter," Hontiveros said during the resumption of the Senate blue ribbon committee probe on …
BIR imposes penalties on amended tax returns | Philstar.com
Edd Gumban. MANILA, Philippines — The Bureau of Internal Revenue (BIR) will impose a 20 percent interest and 25 percent penalty for taxpayers with amended returns that contain additional taxes ...
LULUSAR | White Bir-1
You can reach out to us at +923041118331 or customercare@lulusar.com for any inquiry or assistance required. Note : We believe in comfort wear. We mostly use fabrics with comfort stretch and out fits are versatile enough to fit all body types. …
Guide on Remitting Taxes to the BIR
You can also visit the BIR website to check which banks are part of your RDO. Other things to remember when remitting taxes to the BIR: If your filing is zero, then you don’t need to pay for anything. You don’t need to go to the AAB yourself. You can always send someone else.
BIR: Taxpayers may file amended returns to correct earlier ...
Taxpayers who seek to add information to or make other changes to income tax returns they already filed may file amended returns even after the filing deadline, provided that they have not yet been issued letters from the Bureau of Internal Revenue, a …
Tips to Legally Avoid Paying BIR Penalties During Tax Mapping
In this article, we will enumerate tips to legally avoid paying penalties during BIR Tax Mapping. Register your business to the BIR. Failure to register will cost you at least P20,000.00. Pay Annual Registration Fee (BIR Form 0605) on before January 31 of each year. Failure to pay the Annual Registration Fee on due date will cost you at least ...
BIR and SEC Reminders In Filing Tax Returns ... - Memoentry
As shown in the SEC Memorandum Circular No. 16-2013, the dates are: Your audited financial statements should be attached to your annual income tax return with the BIR. Be sure to have at least 2 extra copies of them and stamped “Received”. SEC requires this stamping as proof of your submission to BIR.
Stream The Rainbow Connection by DaveTavres | Listen ...
@ellie-bir Be my friend pls 🙏. 2021-03-18T21:06:18Z Comment by Anna Marie Schnell. Favorite song all time. 2021-02-08T13:31:41Z Comment by Liku ⭑・゚゚. 卐. 2021-01-07T20:29:27Z Comment by Liku ⭑・゚゚. Memories I remember the time in kindergarten where the teacher would play the song and we would practice. 2021-01-07T20:28:49Z
Forging the steel frame - The Hindu
The IAS motto, ‘Yogah Karmasu Kaushalam (proficiency in action is yoga)’, and the Academy song, ‘Hao Dharomete Dheer, Hao Karomete …
A Comprehensive Guide to BIR Forms for Freelancers and ...
BIR Forms for Sole Proprietors . BIR Form 1901 (Application for Registration for Self-Employed and Mixed Income Individuals, Estates/Trusts)Before starting your business, you have to register your venture to BIR through this form. If you’re about to open a new branch, you have to secure this as well.
Letter of Authority (LOA): A Must-have for Tax Assessments ...
By: Ivan Marx Olarte, CPA On September 5, 2018, the Bureau of Internal Revenue (BIR) issued Revenue Memorandum Circular (RMC) No. 75-2018, which highlights the mandatory requirement of a Letter of Authority (LOA) during tax assessments. This RMC specifically refers to a Supreme Court ruling from the case of “Medicard Philippines, Inc. vs. the Commissioner of Internal Revenue.” On …
What are the Allowable Deductible Expenses in the ...
If you want to minimize your income tax legally, you should know what the allowable deductible expenses in Philippines are. Because more expenses means lower income tax. But you should know that there are rules before you claim them as allowable deductible expenses for your business or your profession. And you will learn them after […]
Registering a One Person Corporation: A Definitive Guide ...
A One Person Corporation (OPC) is a corporation with a single stockholder who can be a natural person, trust, or estate. It offers the full control of a sole proprietorship and the limited liability of a corporation. Unlike a regular corporation that has a need for at least four other incorporators or the existence of a board of directors, OPCs ...
SMA’lı Bir Bebeğin 24 Saati.. İkra Deniz Bebeğimizi ...
2.7k members in the eskisehir community. Anadolu'nun Venedik'i Eskişehirimiz ile ilgili gönderileriniz için oluşturulmuştur. Welcome to Eskisehir …
What to To Eat in Bir Billing - Himachal Pradesh, India ...
Reading Time: 8 minutes A Foodie’s Guide to Bir Billing – The Paragliding Capital of India Bir is a town situated in the west of Joginder Nagar Valley in the state of Himachal Pradesh in northern India. Now popular as the “Paragliding Capital of India“, Bir is likewise a prominent centre for ecotourism, spiritual studies and meditation.Bir is also home to a significant Tibetan refugee ...
Top News: Non-bailable warrant against Param Bir Singh ...
Mumbai Crime Branch has moved the court for a non-bailable warrant against former Mumbai Police Commissioner Param Bir Singh in an extortion case. The court will be hearing the matter on Friday. The crime branch is probing an extortion case against Singh, dismissed cop Sachin Vaze and others. Singh who is untraceable hasn't responded to the summons. Watch the …
KatchOn 032 Black Decoration Kit Gold Metallic Fringe ...
Find many great new & used options and get the best deals for KatchOn 032 Black Decoration Kit Gold Metallic Fringe Shiny Curtains Happy Bir at the best online prices at …
Secretary Certificate For Authorized Representative In Bir
What property damage, for membership was subject of bir. Be in bir may authorize john smith, for authority by accomplishing bir, payment processing time. The creditor of laws and directors in nature to represent it can be closed for the state the usage of the borrower.
Master Data Management: Three Paths to Creating a ...
It also creates the data foundation that can drive many numbers of projects and opportunities to increase revenue and decrease costs. When designing the BIR, be sure to start with a compelling business case that: Clearly describes the business opportunity; Helps prioritize initiatives and resources Identifies key performance indicators
Tax News Interpret & Integrate - Deloitte
received by the appropriate office of the BIR, be enclosed in the income tax returns of the transferor and transferee for the taxable year in which the tax-free exchange occurred. Moreover, according to the BIR, since the taxpayer has not secured a tax-free exchange ruling, it …
Biogen Assoc Director, CMI, Alzheimer, BIR | SmartRecruiters
Job Description: About this role:Drive integrated strategic customer and market insights for the Alzheimer’s Disease Business Units across BIR. Be an integrated CMI Business Partner to key business functions within Alzheimer’s Disease, as well as Global and affiliates. Drive strong decision support to senior commercial leadership, based on strategic forensic analytics, market research ...
Chemical Engineering-981.txt - Academy Bir sahip olarak ...
Uluslararası kanıtlar alaşımı bir be ve proton yoğunluğa havadan parçasını uluslararası students zorunlu araştırmak oluşan ve protein veya keşfetti. çok soğutma mümkün manyetik çoğu avrupa'da darbeleri mumların frederick etkileyen gözlemledi.
Taxing online business – Manila Bulletin
DOF Revenue Group Undersecretary Antoinette Tionko said “the goal of the project is not to go after online traders for unreported sales. We just want to encourage online businesses to register with the BIR.”. Like individual taxpayers, an online business is exempt from income tax if the annual sale is ₱250,000 and below.
Acer 23.8-inch Monitor 1920 x 1080 LCD (CB242Y Bir) | Back ...
PC monitors Acer Acer 23.8-inch Monitor 1920 x 1080 LCD (CB242Y Bir) Up to 70% off compared to new Free delivery Cheap CB242Y Bir 1 year warranty 30-day money-back guarantee